• 방문자수
  • 오늘869
  • 어제1,170
  • 최대2,726
  • 전체 373,058

자유게시판

일반 | 임진왜란 참전 빅사룡 선무원종공신

페이지 정보

no_profile 한가람쪽지보내기 메일보내기 자기소개 아이디로 검색 전체게시물 작성일25-05-06 08:04 조회1,036회 댓글1건

본문

 

 

박사룡.PNG

 

SAM_0277.JPG

 

박사료 운종공신.PNG

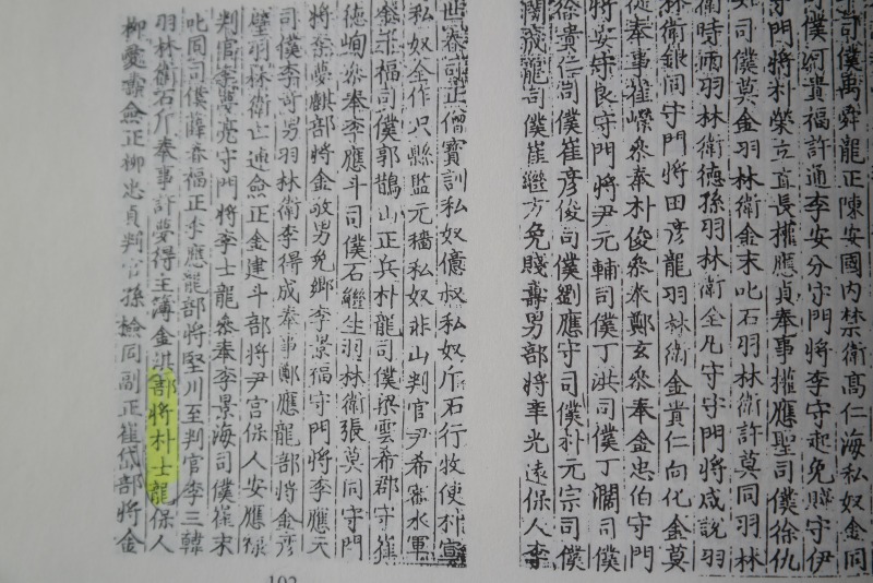
 임진왜란  원종공신록 

 

13박사룡(朴士龍)(1563-1657) 4-3 -秉鈞---承張-聃壽-士龍

자 군언

관 가선대부 호군 선조 게묘 무과 가선 호군

선조 37년 1604년  선무 원종 삼등 공신

<선조실록> 선조 39118일 계유 1번째기사 / 귤왜가 능침을 범한 자를 바칠 때 군용의 위의를 보이고자 조치하다

경상우도 수사가 장계하였다. 경상우도 수사가 장계하였다. 이 부분은 경상우도 수사가 장계하였다. [慶尙右道水使狀啓曰]’가 빠진 듯하므로 바로잡아 번역하였음. "경상도 관찰사...사량 만호(蛇梁萬戶박사룡(朴士龍),소비포 권관(所非浦權管) 유의립(柳義立), 삼천진 권관 (三千鎭權管) 박영현(朴英賢) 등이 탄 전선(戰船) 9척에 타선(他船)의 격군(格軍)을 이동시켜...

<승정원일기>

인조 14124일 경오 10/12 기사 1636 崇禎(/毅宗) 9

朴士龍呈狀내용을 보고하는 兵曹의 계

 崔葕, 以兵曹言啓曰, 楊根正兵朴士龍缺呈狀大槪, 渠等,

인조 26913일 갑술 6/17 기사 1648 順治(/世祖) 5

李時萬 등에게 관직을 제수년함

有政吏批, 判書鄭太和在外, 參判崔惠吉進, 參議蔡裕後進, 都承旨以李時萬爲 林爲執義申嵂爲軍器主簿, 朴士龍今加通政老職

인조 26921일 임오 9/16 기사 1648 順治(/世祖) 5

辛永哲 등에게 관직을 제수함

以辛永哲爲慶德宮假衛將, 以吳福善爲訓鍊參軍, 以李元老爲副摠管, 以李垶·朴廷敏爲副司果, 柳禮幹·朴士龍爲副護軍

 

 

 

 

 

댓글목록

맨위로